Result
When an input is made, the potential graph is always drawn. However, since the wave function process is framed, if the input value is not suitable for calculation, the graph may not be output. (There is a code to check whether it is within the error range.)


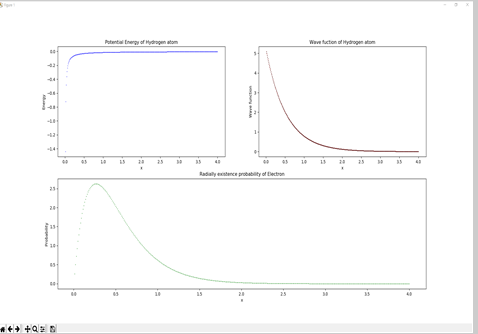
What can be learned from the results
- Potential energy distribution of hydrogen atoms
- Wave function of hydrogen atom -Probability of electron of hydrogen atom
- Radially existence probability of electron of hydrogen atom
- Reform of the theoretical 1s orbital
Comparison of results with actual hydrogen atoms: The potential energy of actual hydrogen atoms can be measured even through experiments due to the development of technology. I compared it with the actual values listed in textbooks or books.
Potential Energy Graph : The graph below the dotted line is output because only the energy caused by the electric force is considered for the simulation of the work. We can see that it matches the shape of the graph below. Actual potential energy considering the nuclear repulsive force is not calculated in the work because it is difficult to calculate because the nuclear repulsive force must be considered according to the position of the electrons, and it is not necessary in the process of obtaining the wave function.

Wave function of the Hydrogen atom for the ground state and Radially existence probability of Electron : We can check the actual 1s wave function through the simulation result. Also, the probability density function is expressed in three dimensions. It can be confirmed by comparing the probability of existence with the data expressed in electron clouds.

If the graph is not drawn, there may be several causes in addition to the above case. Since calculations are performed at the same time and only errors are checked in the code, it is not possible to explain why the graph is not output in the following case.
- The matching radius (nmat in code) value may not be appropriate.
- The mesh size (xmes in code) value may not be appropriate.
- The nxmax value chosen as infinity may not be appropriate.
- The amount of change de of intrinsic energy may not be appropriate. That is, it relates to the matching condition check, but is independent of the error.
- We may have used a numerical method that is not good compared to the precision required for the value to be substituted.
'Project > Python' 카테고리의 다른 글
| 6. Note1 [hydrogen atom wave function] (0) | 2021.10.22 |
|---|---|
| 5. Report4 [hydrogen atom wave function] (0) | 2021.10.22 |
| 3. Report2 [hydrogen atom wave function] (0) | 2021.10.22 |
| 2. Report1 [hydrogen atom wave function] (0) | 2021.10.22 |
| 1. Summary [hydrogen atom wave function] (0) | 2021.10.22 |
댓글